Hier geht es nun um die Möglichkeit, eine Exponentialfunktion, die einen exponentiellen Prozess beschreibt, auch selbst rechnerisch zu ermitteln.
Als erstes solltet ihr die Quotienten zwischen euren Funktionswerten in gleichen zeitlichen Abständen berechnen. Wenn sie etwa gleich sind, liegt ein exponentieller Prozess vor und ihr müsst nur noch einen Anfangswert festlegen und den Wachstumsfaktor berechnen.
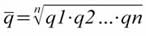
Als Anfangswert könnt ihr den Wert zur Zeit t = 0 verwenden. Für den Wachstumfaktor ist der Durchschnitt der Quotienten geeignet. Hier dürft ihr aber nicht das bekannte arithmetische Mittel verwenden. Für den Mittelwert von Faktoren verwendet man das geometrische Mittel

wobei q1, q2, ... qn die einzelnen Quotienten darstellen.
Ein einfaches Beispiel, wie ihr das in Excel realisieren könnt, könnt ihr euch im Folgenden herunterladen. Bedenkt, dass ihr in Excel die n-te Wurzel durch "hoch 1/n" berechnen könnt.
Beispiel: Windenergiekapazitäten weltweit |